Skip to Main Content
Pay Utility Bill
Report Concerns
Agenda
&
Minutes
Licenses
&
Permits
Employment Opportunities
Citizen Portal — Permits
Search
Government
Board of Aldermen
City Administrator
City Clerk
Utilities
Police Department
Circuit Clerk
FINE
SCHEDULE
Points System
Non-moving Violations
Building Inspector
Fire Department
Sewer Department
Water Department
Storm Water
Solid Waste Refuse
Staff Directory
Municipal Code Book
Boards / Commissions
Planning
&
Zoning Commission
Parks
&
Recreation
Purchasing Policy
Residents
Knob Noster Storm Shelter Locations
SMS
messages from City of Knob Noster
Transparency Documents
Community Events
County Services
Permits
&
Licenses
Snow Removal Information
Report Concerns
Community Links
Knob Noster Youth Sports Association
City of Knob Noster Map
Business
Business Licenses
List of Businesses
Knob Noster Chamber of Commerce
Visitors
About Knob Noster
History
Community Links
Transparency
Records Request
Job Opportunities
Search
MENU
Government
Board of Aldermen
City Administrator
City Clerk
Utilities
Police Department
Circuit Clerk
FINE
SCHEDULE
Points System
Non-moving Violations
Building Inspector
Fire Department
Sewer Department
Water Department
Storm Water
Solid Waste Refuse
Staff Directory
Municipal Code Book
Boards / Commissions
Planning
&
Zoning Commission
Parks
&
Recreation
Purchasing Policy
Residents
Knob Noster Storm Shelter Locations
SMS
messages from City of Knob Noster
Transparency Documents
Community Events
County Services
Permits
&
Licenses
Snow Removal Information
Report Concerns
Community Links
Knob Noster Youth Sports Association
City of Knob Noster Map
Business
Business Licenses
List of Businesses
Knob Noster Chamber of Commerce
Visitors
About Knob Noster
History
Community Links
Transparency
Records Request
Job Opportunities
CLOSE
Search the site
Knob Noster News
Home
Government
Knob Noster News
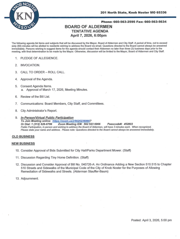
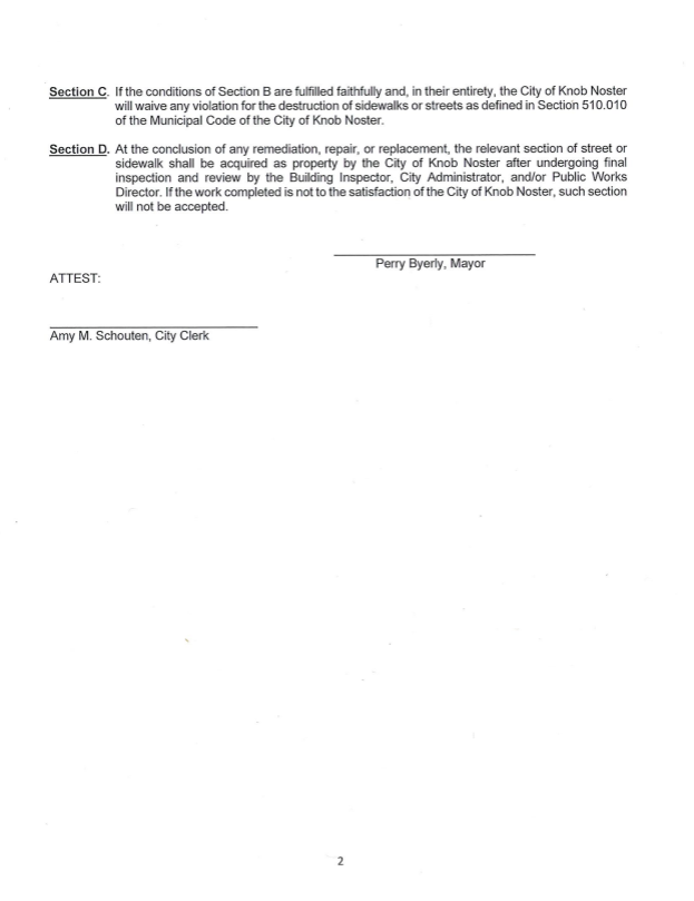
Board of Aldermen Tentative Agenda April 7, 2026 6:00 PM
Additional Information
Government
Board of Aldermen
City Administrator
City Clerk
Utilities Department
Police Department
CIRCUIT COURT
Building Inspector
Fire Department
Water Department
Sewer Department
Storm Water
Solid Waste Refuse
Boards & Commissions
Purchasing Policy
Board of Aldermen Tentative Agenda April
7
,
2026
6
:
00
PM
April 03, 2026